SlovenskýEnglish
Zmenšiť textZväčšiť text

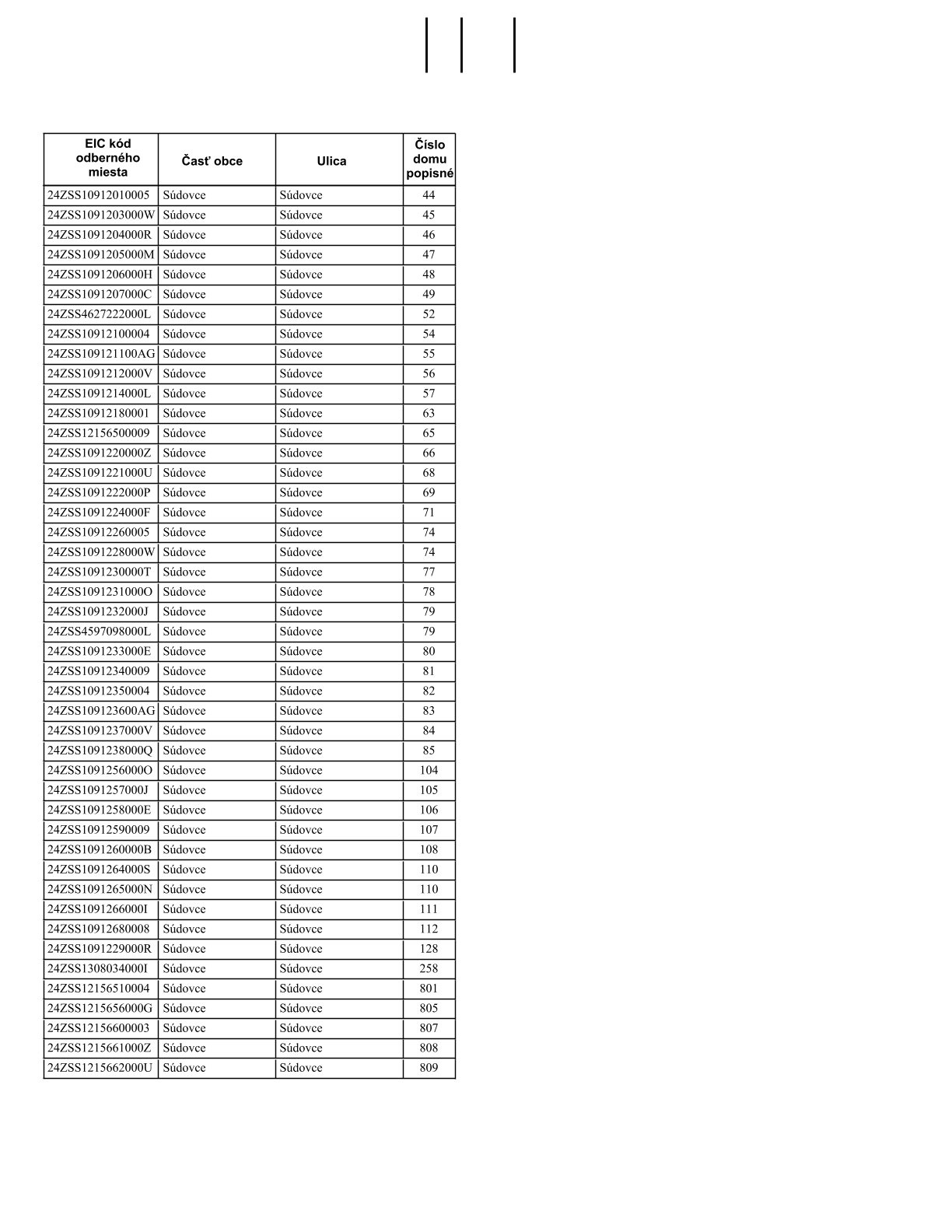
Oznámenie o prerušení distribúcie elektrickej energie

 17.03.2026

Oznámenie o prerušení distribúcie elektrickej energie dňa 19.03.2026 (vo štvrtok) od 08.15. - 17.00 hod. z dôvodu odstraňovania poruchy na zariadeniach distribučnej sústavy pre uvedené odberné miesta :


Zoznam aktualít: